公示|中山大学医疗支援专项基金捐赠情况(2月17日至2月25日)
在广大校友的积极倡议下,中山大学校友会和教育发展基金会共同发起设立“中山大学医疗支援专项基金”。捐赠号召一经发布,立刻受到广大校友和社会各界爱心人士的热烈响应。
在此,中山大学校友会、教育发展基金会谨向所有参与捐赠的人士致以衷心的感谢!
现将该专项基金的捐赠情况进行公示,让前线作战的医护人员更有信心,也让每位捐赠者更加放心。
一、总体情况
截至2020年2月25日中午统计(银行及支付宝捐赠截至2月25日12时,微信捐赠统计截至24日24时),
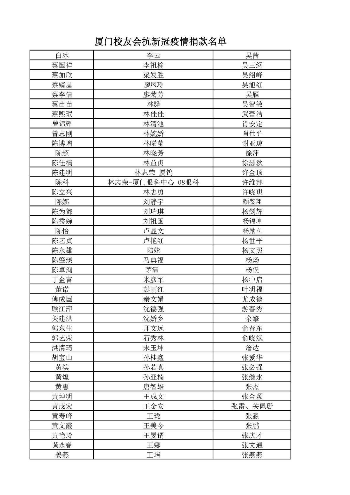
共接受7,896笔捐赠,其中定向捐赠269笔,专项捐赠1笔。
详细明细见附件。
二、微信捐赠情况
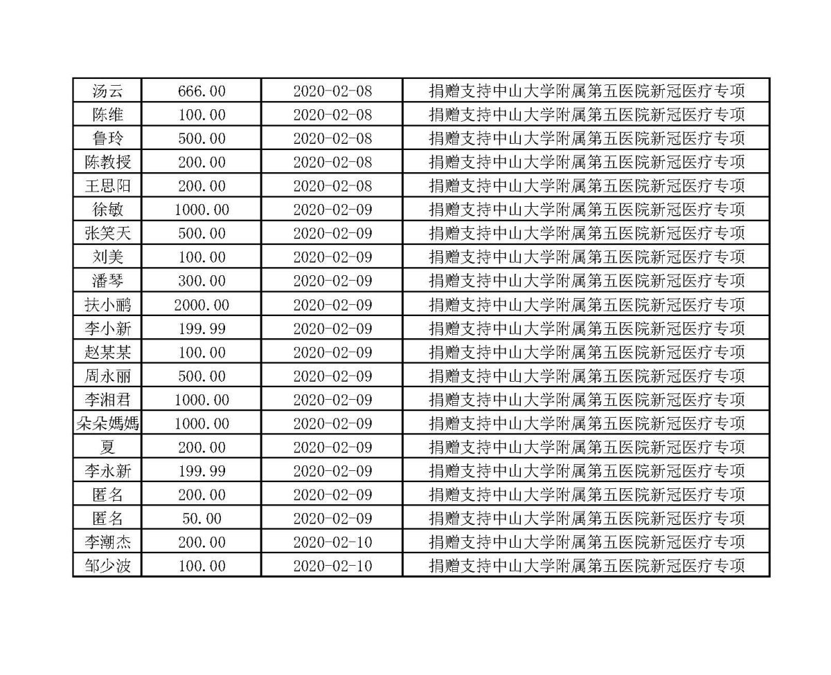
2020年2月17日0时至2020年2月24日24时,微信接受捐款172笔,共计人民币93,365.58元。
详细明细见附件。
三、支付宝情况
2020年2月17日12时至2月25日12时,支付宝收到捐款6笔,确认基金补充公示1笔,共计人民币13,926元
(该捐赠统计数据根据汇款附言"中山大学医疗支援专项基金"为统计口径)。
详细明细见附件。
四、银行汇款情况
2020年2月17日12时至2月25日12时,银行收到捐款21笔,确认基金补充公示7笔,共计人民币2,255,321.25元
(该捐赠统计数据根据汇款附言"中山大学医疗支援专项基金"为统计口径)。
详细明细见附件。
五、补充公示






注:支付宝、银行汇款未附言的捐赠人,请按以下格式留言,以便我们核实并补充名单:
xxx于2020年x月x日通过支付宝/银行捐赠xxx元用于中山大学医疗支援专项基金。
中山大学教育发展基金会秘书处将及时向学校疫情防控领导小组报送捐赠情况,根据需要统筹安排资金使用,并及时通过校友会公众号进行公布,接受各界监督。因中山大学教育基金会公众号为服务号,每月只能推送四次,基金会将会就阶段性工作进行小结后在公众号发布。
中山大学医疗支援专项基金
常见问题汇总
Q1
请问能否提供捐赠票据,
有没有电子捐赠票据?
基金会可开具“广东省公益事业捐赠统一票据”。如果您在微信捐赠时勾选了“寄送发票”并填写了地址,或您在银行或支付宝转账成功后向我方提供了开票信息及地址,基金会工作人员将陆续开出收据并分批寄送;目前我们没有电子捐赠票据,望理解。
Q2
关于捐赠方式的选择,
我该选择微信、支付宝捐赠还是银行转账?
如果您是小额捐赠,建议您采取微信或支付宝捐赠的方式,微信捐赠可以登录中山大学教育发展基金会公众号,点击右下方“我要捐款”,选择“中山大学医疗支援专项基金”进行捐赠;如果您的捐赠金额较大,建议您采取银行转账的捐赠方式。(注:支付宝或银行汇款请务必备注用于中山大学医疗支援专项或中山x院抗疫专项)
Q3
关于海外捐赠
港币、美元账户
开户行:中国银行广州市海珠支行
英文名:BANK OF CHINA, GUANGZHOU HAIZHU SUB-BRANCH
Swift Bank Code:BKCHCNBJ400
账号:688657760466(港币)
688657760524(美元)
银行地址:广州市广州大道南872号
英文地址:NO.872 GUANGZHOU DA DAO NAN, GUANGZHOU, CHINA
Q4
基金会开具的捐赠票据
是否可以享受税收优惠政策?
广东省中山大学教育发展基金会自2009年1月1日起正式具备捐赠税前扣除的资格。参照国家相关法律法规政策,捐赠人可凭我会开具的捐赠收据办理企业(个人)所得税前抵扣。
Q5
我已经捐赠了,什么时候可以看到公示?
中山大学教育发展基金会秘书处会及时向学校疫情防控领导小组报送捐赠情况,根据需要统筹安排资金使用,并及时在中山大学校友会公众号进行公布,接受各界监督。因中山大学教育基金会公众号为服务号,每月只能推送四次,基金会将会就阶段性工作进行小结后在公众号发布。
Q6
中山大学教育发展基金会是否收取管理费?
中山大学教育发展基金会郑重承诺,此次筹得的所有经费全额用于抗击疫情。
一方有难,八方支援!
感恩有您,共抗疫情!
相关附件:
1、总表.xlsx
2、微信(2月17至2月25).xlsx
3、支付宝(2月17至2月25).xlsx
4、银行(2月17至2月25).xlsx

